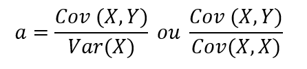
Téléversements par Jpinon
Aller à la navigation
Aller à la recherche
Cette page spéciale permet de lister tous les fichiers téléversés.
| Date | Nom | Vignette | Taille | Description | Versions |
|---|---|---|---|---|---|
| 14 décembre 2025 à 21:37 | Calculcoefdirect.png (fichier) | 8 kio | 1 | ||
| 14 décembre 2025 à 21:33 | Ecartmoyen.png (fichier) | ![]() |
2 kio | 1 | |
| 14 décembre 2025 à 21:32 | ImageSST.png (fichier) | 8 kio | 1 | ||
| 14 décembre 2025 à 21:29 | Equivvarcovar.png (fichier) | 10 kio | 1 | ||
| 14 décembre 2025 à 21:19 | Variance.png (fichier) | 4 kio | 1 | ||
| 14 décembre 2025 à 21:15 | Moyx.png (fichier) | ![]() |
439 octet | 1 | |
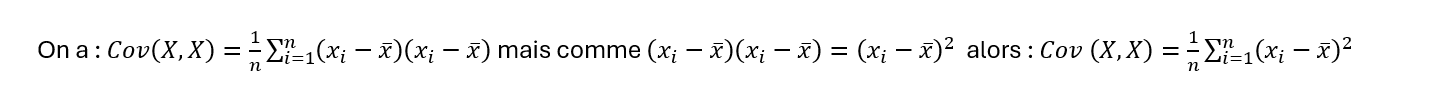
| 14 décembre 2025 à 21:06 | Formule covariance.png (fichier) | 6 kio | 1 | ||
| 14 décembre 2025 à 20:55 | Regression avec excel.png (fichier) | 51 kio | 1 | ||
| 14 décembre 2025 à 20:51 | Mesures.png (fichier) | 25 kio | 1 | ||
| 14 décembre 2025 à 20:41 | Les mesures.png (fichier) | 20 kio | 1 | ||
| 8 décembre 2025 à 20:47 | Install gitlab part 2.png (fichier) | 36 kio | 1 | ||
| 8 décembre 2025 à 20:46 | Install gitlab.png (fichier) | 41 kio | 1 | ||
| 8 décembre 2025 à 19:28 | Fdisk pi.png (fichier) | 35 kio | 1 | ||
| 7 décembre 2025 à 21:18 | Dashboard-router.png (fichier) | 37 kio | 1 | ||
| 7 décembre 2025 à 20:51 | Screen-saver.service.png (fichier) | 72 kio | 1 | ||
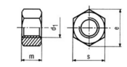
| 6 décembre 2025 à 21:58 | Ecrou ISO 4762.png (fichier) | 69 kio | 1 | ||
| 6 décembre 2025 à 21:17 | VIS24301.png (fichier) | 79 kio | 1 | ||
| 6 décembre 2025 à 21:08 | SO7380.png (fichier) | 49 kio | 1 | ||
| 6 décembre 2025 à 21:05 | Boulon.png (fichier) | 62 kio | 1 | ||
| 6 décembre 2025 à 21:01 | Cylindrique CHC.png (fichier) | 92 kio | 1 | ||
| 6 décembre 2025 à 20:57 | Inserts3D.png (fichier) | 131 kio | 1 | ||
| 6 décembre 2025 à 20:40 | Rondelles std.png (fichier) | 51 kio | 1 | ||
| 6 décembre 2025 à 01:39 | Filetage ISO.png (fichier) | 5 kio | 1 | ||
| 5 décembre 2025 à 14:57 | Fraises standards.png (fichier) | 34 kio | 1 | ||
| 5 décembre 2025 à 14:03 | P4.png (fichier) | 883 kio | 1 | ||
| 5 décembre 2025 à 14:00 | P3.png (fichier) | 877 kio | 1 | ||
| 5 décembre 2025 à 13:57 | PI2.png (fichier) | 885 kio | 1 | ||
| 5 décembre 2025 à 13:54 | PI1.png (fichier) | 863 kio | 1 | ||
| 5 décembre 2025 à 00:01 | Nodered-gpio.png (fichier) | 24 kio | 1 | ||
| 4 décembre 2025 à 23:59 | Nodered-login.png (fichier) | 30 kio | 1 | ||
| 4 décembre 2025 à 23:56 | Nodereddebug.png (fichier) | 70 kio | 1 | ||
| 4 décembre 2025 à 23:50 | Nodered-debug.png (fichier) | 10 kio | 1 | ||
| 4 décembre 2025 à 23:47 | Deploy-nodered.png (fichier) | 3 kio | 1 | ||
| 4 décembre 2025 à 23:46 | Nodered-exemple-002.png (fichier) | 21 kio | 1 | ||
| 4 décembre 2025 à 23:44 | Nodered-exemple-001.png (fichier) | 22 kio | 1 | ||
| 4 décembre 2025 à 23:42 | Nodered.png (fichier) | 25 kio | 1 | ||
| 4 décembre 2025 à 23:34 | Sonoff + header.png (fichier) | 152 kio | 1 | ||
| 4 décembre 2025 à 23:30 | SONOFF Switch inside.png (fichier) | 573 kio | Pris sur https://forum-photovoltaique.fr/viewtopic.php?t=44023 | 1 | |
| 4 décembre 2025 à 23:26 | Sonoff-basic-r2-wifi-smart-switch-compatible-with-google-homealexa.jpg (fichier) | 31 kio | 1 | ||
| 4 décembre 2025 à 22:08 | Snapshot.png (fichier) | 4 kio | 2 | ||
| 4 décembre 2025 à 21:52 | Bruit.png (fichier) | 1,99 Mio | 2 | ||
| 3 décembre 2025 à 22:10 | Adafruit 2.8''.png (fichier) | 1,42 Mio | 1 | ||
| 2 décembre 2025 à 23:56 | Raspi-config-autologin.png (fichier) | 48 kio | 1 | ||
| 2 décembre 2025 à 23:54 | Raspi-config.png (fichier) | 102 kio | 1 | ||
| 2 décembre 2025 à 23:26 | Datacenter-sd-15.png (fichier) | 165 kio | 1 | ||
| 2 décembre 2025 à 23:25 | Datacenter-sd-14.png (fichier) | 106 kio | 1 | ||
| 2 décembre 2025 à 23:24 | Datacenter-sd-13.png (fichier) | 103 kio | 1 | ||
| 2 décembre 2025 à 23:23 | Datacenter-sd-12.png (fichier) | 155 kio | 1 | ||
| 2 décembre 2025 à 23:21 | Datacenter-sd-11.png (fichier) | 159 kio | 1 | ||
| 2 décembre 2025 à 23:20 | Datacenter-sd-10.png (fichier) | 134 kio | 1 |

